Declaratie Pe Propria Raspundere 2021 Pdf Ora 22
Intervalul orar în care se efectuează deplasarea_____ Datele de identificare și de contact ale persoanei căreia i se acordă îngrij irea. Se salvează în format PDF iar apoi se salvează pe telefonul mobil.

Descarcă Modele Declarații Pe Proprie Răspundere Pentru A Ieși Din Casă Stiri De Cluj
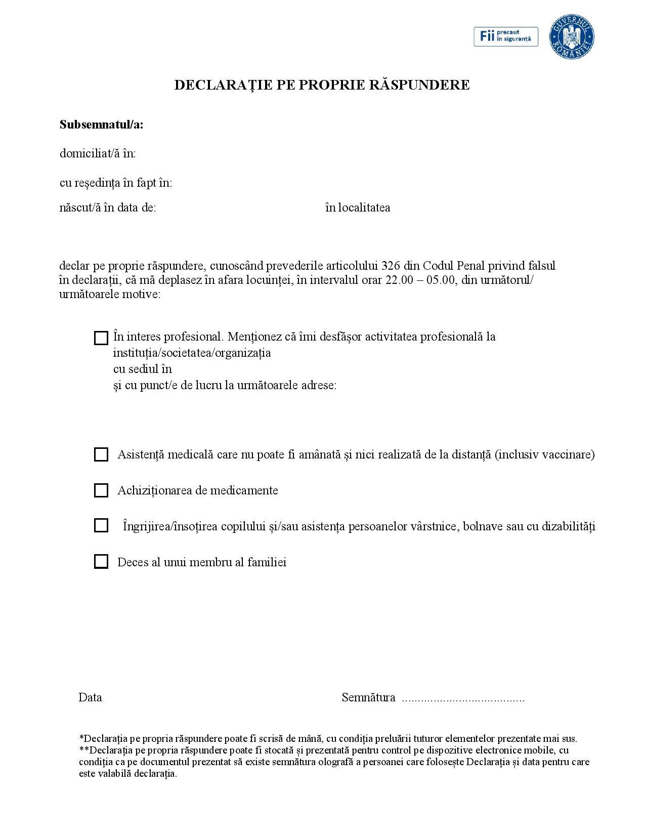
DECLARAȚIE PE PROPRIE RĂSPUNDERE.

Declaratie pe propria raspundere 2021 pdf ora 22
. Declarație pe Proprie Răspundere 2021 pentru circulația pe timp de noapte actualizat MARTIE 2021 incidență peste 4 și peste 75 orele 2000-500 PDF. Cum arată declarația pe propria răspundere pentru deplasare după ora 2000 sau 2200 și adeverința de la angajator. Declaratie pe propria raspundere coronativirus declaratie pe propria raspundere covid-19 formular. Incepand cu data de 26 martie 2021 intra in vigoare noi restrictii pentru circulatia pe timpul noptii si in weekend.Interdicţia este valabilă în intervalul orar 2200 - 0500. 28032020 la ora 2233. Ordinul nr18988552021 pentru modificarea si completarea Normelor de aplicare a prevederilor OUG nr. Declaraţia pe propria răspundere pe timp de noapte.
DECLARAȚIE PE PROPRIE RĂSPUNDERE. Dată fiind această schimbare a fost modificată și declarația pe propria răspundere. Carantina de noapte va fi în vigoare de la ora 2200 față de 2300 cum este acum astfel că până la ora 0500 se va putea ieși din casă doar pentru motive întemeiate și doar în baza declarației pe propria răspundere conform hotărârii de miercuri a Comitetului Național. Descarca modelul de declaratie pe propria raspundere valabil incepand cu luna martie 2021 pentru toate localitatile in care se impun restrictii de circulatie incepand cu ora 2000 sau 2200 in functie de rata de incidenta care este inregistrata acolo.
362021 60243 PM. Declaratie pe propria raspundere martie 2021 - Declaraţia pe propria răspundere martie 2021 şi adeverinţa de la angajator. 326 din Codul penal cu privire la falsul în. Declar pe proprie răspundere cunoscând prevederile articolului 326 din Codul Penal privind falsul în declarații că mă deplasez în afara locuinței în intervalul orar 2200 0500 din următorul.
Modelele ACTUALIZATE pentru declarația pe propria răspundere și adeverința de angajator pot fi descărcate de mai jos. Publicat în 11 noiembrie 2020 28 septembrie 2021. Cele 4 modele de Adeverință angajator și Declarație proprie răspundere pentru deplasare după ora 22 sau ora 20 În urma Hotărârii guvernului nr. Se poate semna direct PDF-ul generat de pe siteul STS cu WPS Office direct pe telefon la meniul - Tools.
De unde o puteți descărca. Declarația pe propria răspundere MODEL NOU valabil pentru ora 2200. Carantina de noapte se va aplica de la ora 2000 față de 2200 cât este acum în zilele de vineri sâmbătă și duminică în localitățile în care rata de infectare este peste 4. Începând de ieri seară starea de alertă a fost prelungită cu.
Declar pe proprie răspundere cunoscând prevederile articolului 326 din Codul Penal privind falsul în declarații că mă deplasez în afara locuinței în intervalul orar 2200 0500 din următorul. DECLARAȚIE PE PROPRIE RĂSPUNDERE. Cum se completează declaraţia pe propria răspundere valabilă din septembrie 2021. 26032021- Modele ale declarației pe propria răspundere și ale adeverinței de angajator pentru deplasarea în afara locuinței în intervalul supus interdicției de circulatie.
2Intrareaieșire îndin localitatea carantinată. Fiecare model de declaratie pe propria raspundere trebuie folosit in conformitate cu ora. Formularul dat publicității în MARTIE 2021 poate fi descărcat și printat AICI. C arantina de noapte va intra în vigoare de la ora 2200 faţă de 2300 cum era până acum.
Daca pana acum era necesara completarea declaratiei pe proprie raspundere la parasirea domiciliului dupa ora 22 incepand cu data de 26 martie in localitatile cu incidenta de peste 4 la mie declaratia va trebui completata la parasirea domiciliului dupa ora 20 in zilele de Vineri. Astfel ora 2300 va deveni ora 2200 motiv pentru care toți cetățenii vor fi obligați să aibă la ei declarația pe propria răspundere sau adeverința pentru angajator în intervalul 2200 0500. Până la ora 0500 se va putea ieşi din casă doar pentru motive întemeiate şi doar cu declaraţie pe propria răspundere. Potrivit noilor măsuri adoptate de Comitetul Naţional pentru Situaţii de Urgenţă cei care circulă în intervalul 2200-0500 vor avea nevoie de declaraţie pe propria răspundere.
A transportul de marfă indiferent de natura acestuia al materiilor prime și resurselor necesare desfășurării. Starea de alertă a fost prelungită în România cu încă 30 de zile începând din 14 martie. În intervalul orar 2200-0600 circulația persoanelor în afara locuințeigospodăriei este permisă numai pentru motivele prevăzute la pct1 lita c m și o. MODEL Declaratie pe proprie raspundere OM2 pdf.
Declar pe proprie răspundere cunoscând prevederile articolului 326 din Codul Penal privind falsul în declarații că mă deplasez în afara locuinței în intervalul orar 2200 0500 din următorul. _____ Subsemnatasubsemnatul cunosc prevederile art. Reamintim că începând de duminică seara carantina de noapte va intra în vigoare de la ora 2200 față de 2300 cum era până acum astfel că până la ora 0500 se va putea ieși din casă doar pentru motive întemeiate și doar în baza declarației pe propria răspundere. Declaratie pe propria raspundere martie 2021 - Declaraţia pe propria răspundere martie 2021 şi adeverinţa de la angajator.
Modelul declarației pe propria răspundere pentru toate localitățile indiferent de rata de incidență. 3482021 autoritățile au emis noi modele de Declarație pe proprie răspundere și Adeverință din partea angajatorului pentru deplasarea în afara locuinței în intervalele orare. Descarcă de AICI DOCUMENTUL. DECLARAȚIE PE PROPRIA RĂSPUNDERE.
Precizăm faptul că declarația pe propria răspundere poate fi completată integral olograf de mână cu preluarea tuturor elementelor prevăzute în modelul declarației pus la dispoziție. Declarație pe Proprie Răspundere 2021 pentru circulația pe timp de noapte actualizat MARTIE 2021 incidență peste 4 și peste 75 orele 2000-500 PDF. Declaraţia pe propria răspundere poate fi stocată şi prezentată pentru control pe dispozitive electronice mobile cu condiţia ca pe documentul prezentat să existe semnătura olografă a persoanei care foloseşte Declaraţia şi data pentru care este valabilă declaraţia se arată în modelul publicat. Daca ai scana un print și l-ai arata de pe telefon tot aia ar fi.
D uminică seara s-a prelungit cu încă o lună de zile starea de alertă.

De Cand Nu Vom Mai Putea Iesi După 10 Seara Fără Declaraţie Pe Proprie Răspundere Stirileprotv Ro

Cum Arată Declarația Pe Propria Răspundere Pentru Deplasare După Ora 20 00 Sau 22 00 și Adeverința De La Angajator Documente

Cum Arată Noua Declarație Pe Propria Răspundere Pentru A Circula După Ora 22 Kanal D Romania

Noua Declaratie Pe Propria Raspundere O Poti Completa Online Model Handmade

Cum Arată Noua Declarație Pe Propria Răspundere Pentru A Circula După Ora 22 Kanal D Romania

Cum Arată Noua Declarație Pe Propria Răspundere Pentru A Circula După Ora 22 Kanal D Romania

Noua Declaratie Pe Propria Raspundere Necesara Pentru Deplasarile Dupa Ora 22 00 A Intrat In Vigoare Descarca Aici Noul Model Kanal D Romania

Declaraţie Actualizată Pe Propria Răspundere Si Adeverinţa De La Angajator Pentru A Iesi Din Casă Intre
Comments
Post a Comment